Smart Computational Imaging (SCI) Lab
智能计算成像实验室

文章简介

【CSOE计算成像CITA】南京理工大学刘永焘AS:受控的能量转移上转换受激辐射超分辨成像技术

241
发表时间:2023-09-02 14:33作者:CSOE计算成像CITA来源:CSOE计算成像CITA网址:https://mp.weixin.qq.com/s/HKgTGeJD_d_ujxyk9IiBpw?from=industrynews&version=4.1.9.6012&platform=win

撰稿人|南京理工大学 教授 刘永焘,研究生 吴天筱

图片

研究背景

受激辐射超分辨成像技术(stimulated emission depletion microscope-STED)采用一束环形光来通过受激辐射淬灭外围区域的荧光染料,将高斯光束与环形光束重叠得到环形光中心未被淬灭的荧光染料,图像的分辨率与未被淬灭的荧光染料半径有关,半径越小,分辨率越高,所需的淬灭光功率越高,但是高功率淬灭光会造成光漂白和光毒性,限制了其在活细胞成像中的应用。上转换受激辐射超分辨成像技术(U-STED)采用上转换纳米颗粒(UCNPs)作为新型的荧光探针,其可吸收近红外光子产生短波长的发射,UCNPs的“中间态淬灭”机制能够阻碍向上的上转换通路,从而促进高激发态的损耗,减少了高分辨率成像对高淬灭功率的要求。然而确定合适的激发功率是U-STED显微镜技术的关键之一。在以往的实验中,研究人员们通过实验试错的方式来寻找最佳的激发功率,因此很难获得最佳的淬灭效率和信噪比。


导读

近日,南京理工大学刘永焘教授与悉尼科技大学金大勇院士团队使用上转换纳米颗粒作为荧光探针,通过研究掺杂了Yb3+和Tm3+的β-NaYF4纳米粒子的能量传递过程,借助交叉弛豫对激发功率的动态响应过程,成功预测出高淬灭效率下的理想激发功率,实现了基于高阶非线性共聚焦超分辨下的受激辐射超分辨成像,分辨率达到33nm。相关成果发表于著名期刊《Advanced Science》。


主要研究内容

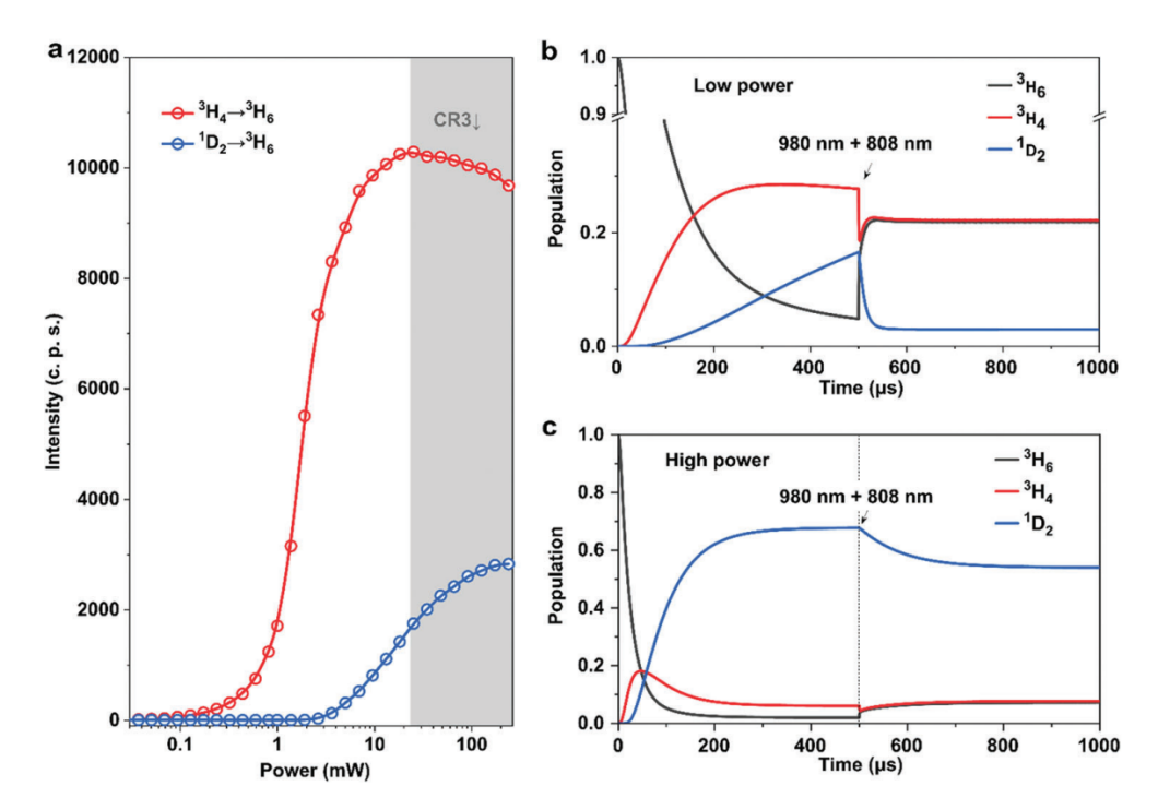
团队首先提出Tm3+的能级在980nm激光激发下的动力学理论,发现与基态相关的交叉弛豫CR3(1D2 ,3F2-3H6,3H4)决定了3H4相对于基态的粒子数反转,且其跃迁速率与激发功率密切相关。其次,测量了1D2能级455nm和3H4能级800nm的功率依赖性发射来验证可变CR3过程。在高激发功率下,800 nm发射强度呈下降趋势,即CR3下降,而455 nm发射强度继续增加。而后,将CR3的动态速率特征嵌入到数值方程模型中,模拟8 mol% Tm3+掺杂的UCNPs在双激光激励下的瞬态响应,结果表明980 nm激光器的低激发功率和固定功率的808 nm耗尽光束可以获得较高的耗尽效率,3H41D2中的临界粒子数分布是由与交叉弛豫速率(CR3)相关的关键机制驱动的。大的CR3形成一个正反馈过程,加速了3H4中间激发态的粒子数积累,为光子雪崩的发生提供先决条件。最后,测量455nm荧光发射的功率依赖曲线,发现最高非线性效应达6.1阶的阈值点,在阈值点处对UCNP进行成像,共聚焦扫描在1mW的激发功率下分辨率达到126.4nm,可以直接提供超分辨成像,U-STED在1mW的激发功率下分辨率大幅度提升,高达33nm,达到激发波长的1/24。

技术突破与创新点

团队利用掺杂了Yb3+和Tm3+的β-NaYF4纳米粒子为基础模型进行了一系列的研究,他们发现在980nm激光激发下,Tm3+能级之间包含三个主要的交叉弛豫能量传递过程,分别是与功率有关的CR3(1D2,3F2-3H6,3H4),来填充1D2能级的CR1(1G4,1D2-3H4,3F4)和CR2(3H4,1D2-1G4,3F4)。在808nm淬灭光下,光子雪崩式耗尽发生在3H4能级上,从而阻碍了粒子向更高能级上的跃迁。在整个过程中,最关键的是与基态有关的CR3过程,此过程决定了3H4相对于基态的粒子数反转。较低的激发功率会导致较高的CR3,通过测试高激发功率下一系列功率依赖曲线的下降趋势也证明了CR3的动态反应。数值仿真表明耗尽率对于动态CR3驱动的中间态的粒子数分布是敏感的,CR3越大,3H4上粒子数积累的越快,这为光子雪崩奠定了基础(图1)。最后通过测量以波长455nm为中心的蓝色发射的功率依赖强度曲线,观察到一个斜率跳跃的阈值,其非线性效应达到6.1阶,在这个阈值点处,耗尽率超过了泵浦率,同时实现了粒子数反转,将其作为理想功率值点,不仅能够实现最优的受激辐射超分辨成像效果,也成功实现多阶的非线性共聚焦的超分辨成像。最后,团队在阈值点处对UCNPs进行共聚焦和U-STED成像,在1mw时,U-STED和共聚焦的分辨率分别可以达到极高的33nm和126.4nm(图2)。这不仅为提高U-STED的分辨率和信噪比提供了一个途径,也帮助人们对上转换纳米颗粒中能量传递过程进行进一步理解。

图片

图1.UCNP在双激光下的数值仿真

图片

图2.高阶非线性作用下的共聚焦和受激辐射超分辨成像结果


结论与展望

上转换纳米颗粒应用于荧光超分辨成像已然成为科研人员的研究热点,刘永焘教授/金大勇院士(澳洲)团队长期致力于上转换成像及其在生物医学中的应用研究,这项工作的提出不仅拓展了受激辐射超分辨成像的认识,同时也对上转换能量转移的内在物理机制有了更加充分的了解,有利于一系列上转换超分辨率成像技术的发展,包括上转换非线性结构照明显微镜(U-NSIM),多光子上转换时间编码结构照明显微镜(MUTE-SIM)和近红外发射饱和(NIRES)纳米显微镜。

主要作者

图片

刘永焘教授,博士毕业于悉尼科技大学,毕业后在悉尼科技大学从事博士后研究工作,2022年加入南京理工大学电光学院智能成像实验室,被聘为青年教授。主要从事现代光学成像(超分辨光学成像和多光子成像等)、纳米光子学、纳米传感和表征及相关技术在生物医方面的应用。先后在Nature Communications, Nature Nanotechnology, Nature Photonics, Advanced Materials, Small, ACS Nano, Nano Letter等国际权威学术期刊发表文章三十余篇,多次受邀国际学术报告,并担任中国激光杂志青年编委。

图片

周佳佳博士毕业于浙江大学,现任悉尼科技大学科学学院副教授。目前主要承担澳大利亚研究委员会(ARC)杰出青年基金Future Fellowship项目和国家卫生与医学研究委员会NHMRC项目。周佳佳教授已发表SCI高水平论文110多篇,其中包括Nature系列文章10篇(包括2篇《Nature》、4篇《Nature Photonics》、1篇《Nature Methods》和3篇《Nature Communications》)。她的研究工作已经吸引了7000多次引用,谷歌h指数为41。她的专业领域涵盖了生物工程光学、纳米探针技术、精密光学仪器、显示技术、量子生物技术、生物成像和传感等领域。为表彰其在纳米光子学方面的贡献,她曾获得多项重要奖项,包括2022年David Syme研究奖、2020年澳洲科研最高奖尤里卡奖新兴科学领袖入围奖、2019年激发态动力学Sturge奖、2019年澳洲科研最高奖尤里卡早期职业研究员入围奖、2018年纳米材料青年研究员奖。

图片

金大勇,2007年博士毕业于麦考瑞大学,2015年晋升为教授并组建悉尼科技大学生物医学材料及仪器研究所并任所长,2016年获批并组建澳大利亚可集成生物医学器件与技术转化中心,2017 年任杰出教授。金大勇教授是科睿唯安交叉学科全球千分之一高被引学者,已发表SCI高水平论文200余篇,其中包括Nature及其子刊30余篇。他的专业领域涵盖生物工程光学、纳米探针技术、生物医疗诊断、精密光学仪器、微流控芯片等领域。目前主要从事单分子影像、细胞器功能成像、诊断病理学、高通量组学成像、超分辨成像等基础和临床应用研究。他于2015年荣获澳洲科研最高奖尤里卡奖交叉学科创新奖,2016年当选澳大利亚百名科技创新领军人物,2017年荣获澳洲科学院工程科学奖,以及2017年荣获澳大利亚总理奖 - 年度理学家奖。2021年荣获澳大利亚桂冠教授奖,并当选澳大利亚工程院院士。

文章信息

Population Control of Upconversion Energy Transfer for Stimulation Emission Depletion Nanoscopy

Yongtao Liu*, Shihui Wen, Fan Wang, Chao Zuo, Chaohao Chen, Jiajia Zhou*, Dayong Jin* Advanced Science

论文地址:https://doi.org/10.1002/advs.202205990

复审 | 左超

终审 | 徐峰


SCILab 官方公众号
SCILab 官方B站